让卖家找上门
发布询价>>
您所在的位置:仪器仪表网> 电子元器件>供应STZ8360A二极管,STZ8360A稳压二极管

供应STZ8360A二极管,STZ8360A稳压二极管

价 格: 面议
型号/规格:STZ8360A
品牌/商标:金誉
封装形式:SOD-323
环保类别:无铅环保型
安装方式:贴片式
包装方式:散装
功率特性:
频率特性:
反向电压:
反向击穿电流:

  STZ8360A稳压二极管特性:

  表面材料:硅

  功耗:300mW

  封装:SOD-323

  结点温度:150℃

  存储温度范围:-55℃~150℃

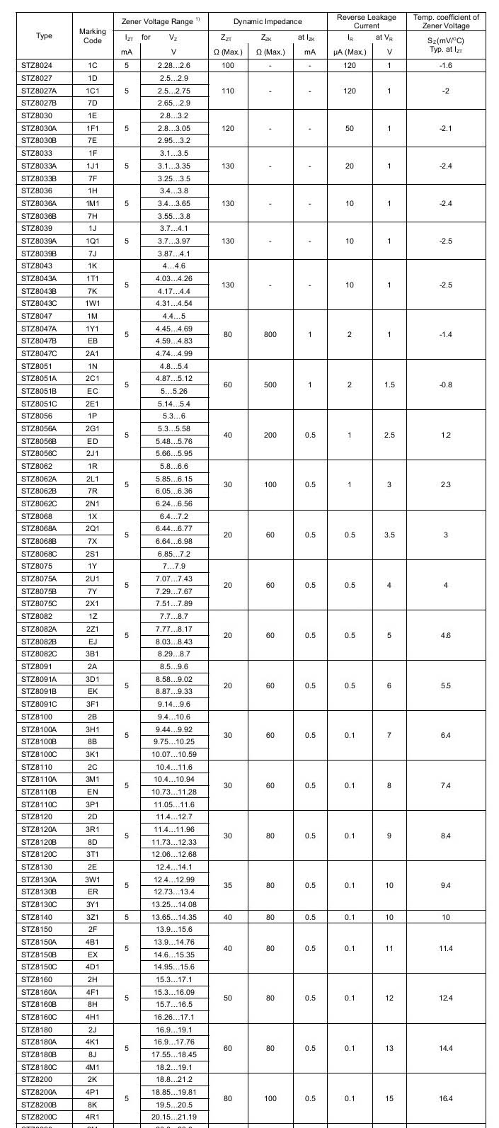
  STZ8000系列稳压二极管的参数(T=25℃):

dzsc/18/4299/18429919.jpg

 

 

  如何区分二极管与稳压二极管?

  不少的一般二极管,特别是玻璃封装的管,外形颜色等与稳压二极管较相似,如不细心区别,就会使用错误。区别方法是:看外形,不少稳压二极管为园柱形,较短粗,而一般二极管若为园柱形的则较细长;看标志,稳 压二极管的外表面上都标有稳压值,如5V6,表示稳压值为5.6V;用万用表进行测量,根据单向导电性,用X1K挡先把被测二极管的正负极性判断出来,然后用X10K挡,黑表笔接二极管负极,红表笔接二极管正极,测的阻值与X1K挡时相比,若出现的反向阻值很大,为一般二极管的可能性很大,若出现的反向阻值变得很小,则为稳压二极管。

苏州固锝电子股份有限公司
公司信息未核实
  • 所属城市:广东 广州
  • [联系时请说明来自维库仪器仪表网]
  • 联系人: 曾向奔
  • 电话:020-83182723
  • 传真:020-83389441
  • 手机:13928786606
  • QQ :QQ:389939789QQ:2355278034QQ:2355278037
公司相关产品

供应STZ8360B稳压管,STZ8360B稳压二极管

信息内容:

STZ8360B稳压二极管特性:   表面材料:硅   功耗:300mW   封装:SOD-323   结点温度:150℃   存储温度范围:-55℃~150℃   STZ8000系列稳压二极管的参数(T=25℃): dzsc/18/4299/18429934.jpg   稳压管的主要参数:   (1) 稳定电压VZ   Vz稳压管反向击穿后其电流为规定值时它两端的电压值。不同型号的稳压管其Vz的范围不同;同种型号的稳压管也常因工艺上的差异而有一定的分散性。所以,Vz一般给出的是范围值,例如2CW11的Vz在3.2~4.5V (测试电流为10mA)。当然,二极管(包括稳压管)的正向导通特性也有稳压作用,但稳定电压只有0.6~0. 8V,且随温度的变化较大,故一般不常用。   (2)稳定电流IZ   IZ是指稳压管正常工作时的参考电流。Iz 通常在最小稳定电流IZmin与稳定电流IZmax之间。其中IZmin 是指稳压管开始起稳压作用时的最小电流,电流低于此值时,稳压效果差;IZmax是指稳压管稳定工作时的允许电流,超过此电流时,只要超过额定功耗,稳压管将发生性击穿。故一般要求 IZmin< Iz < IZmax 。   (3)动态电阻rZ   rZ是指在稳压管正常工作的范围内,电压的微变量与电流的微变量之比。rZ 越小,表明稳压管...

详细内容>>

供应稳压二极管STZ8360C,二极管STZ8360C

信息内容:

STZ8360C稳压二极管特性:   表面材料:硅   功耗:300mW   封装:SOD-323   结点温度:150℃   存储温度范围:-55℃~150℃   STZ8000系列稳压二极管的参数(T=25℃): dzsc/18/4299/18429935.jpg   二极管击穿有哪3种情况?   二极管的击穿通常有三种情况,即雪崩击穿、齐纳击穿和热击穿。   (1)雪崩击穿   对于掺杂浓度较低的PN结,结较厚,当外加反向电压高到一定数值时,因外电场过强,使PN结内少数载流子获得很大的动能而直接与原子碰撞,将原子电离,产生新的电子空穴对,由于链锁反应的结果,使少数载流子数目急剧增多,反向电流雪崩式地迅速增大,这种现象叫雪崩击穿。雪崩击穿通常发生在高反压、低掺杂的情况下。   (2)齐纳击穿   对于采用高掺杂(即杂质浓度很大)形成的PN结,由于结很薄(如0.04μm)即使外加电压并不高(如4V),就可产生很强的电场将结内共价键中的价电子拉出来,产生大量的电子一空穴对,使反向电流剧增,这种现象叫齐纳击穿(因齐纳研究而得名)。齐纳击穿一般发生在低反压、高掺杂的情况下。   (3)热击穿   在使用二极管的过程中,如由于PN结功耗(反向电流与反向电压之积)过大...

详细内容>>

相关产品