让卖家找上门
发布询价>>
您所在的位置:仪器仪表网> 电子元器件>供应STZ8180B齐纳管,STZ8180B齐纳二极管

供应STZ8180B齐纳管,STZ8180B齐纳二极管

价 格: 面议
型号/规格:STZ8180B
品牌/商标:金誉
封装形式:SOD-323
环保类别:无铅环保型
安装方式:贴片式
包装方式:散装
功率特性:
频率特性:
反向电压:
反向击穿电流:

  STZ8180B齐纳二极管特性:

  表面材料:硅

  功耗:300mW

  封装:SOD-323

  结点温度:150℃

  存储温度范围:-55℃~150℃

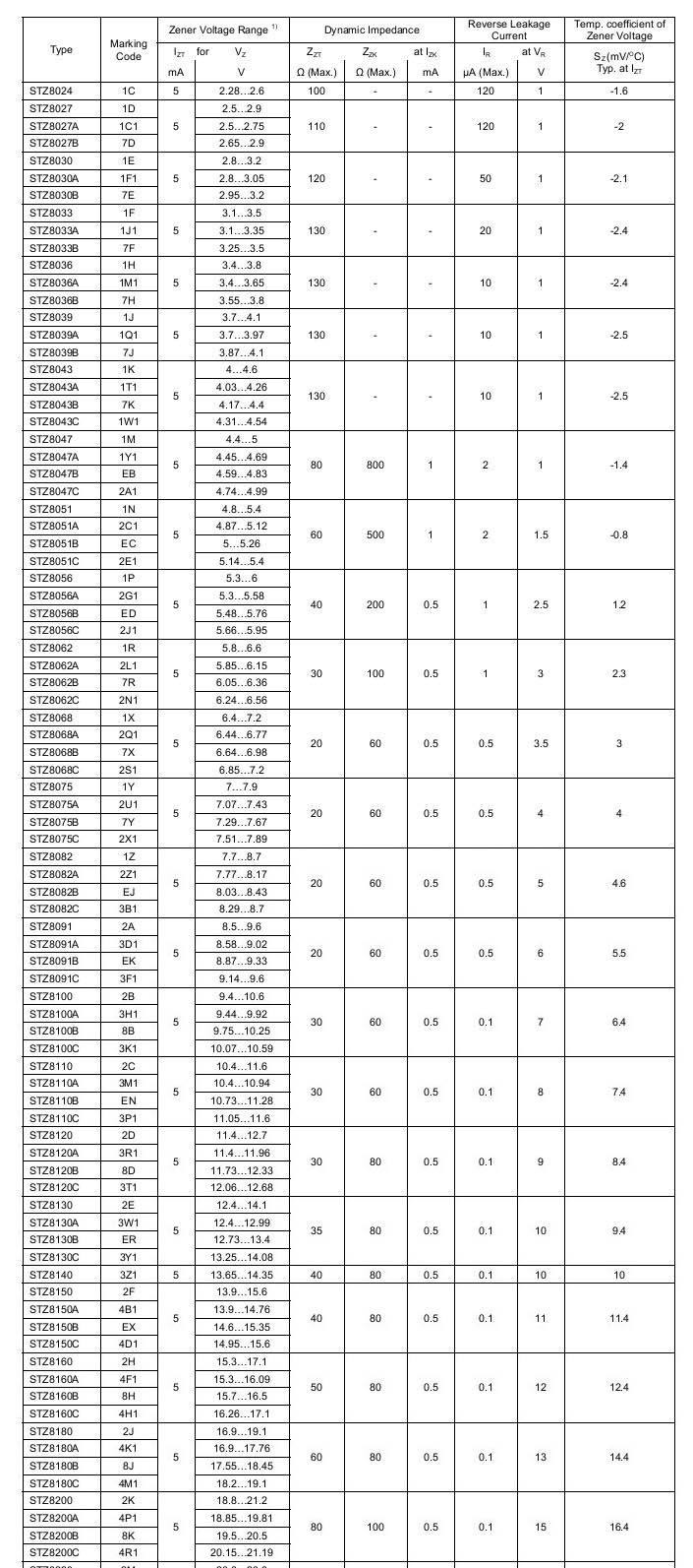
  STZ8000系列稳压二极管的参数(T=25℃):

dzsc/18/4297/18429769.jpg

 

  稳压二极管正向使用与反向使用的区别

  稳压二极管正向导通使用时,与一般二极管正向导通使用时基本相同,正向导通后两端电压也是基本不变的,都约为0.7V。从理论上讲,稳压二极管也可正向使用做稳压管用,但其稳压值将低于1V,且稳压性能也不好,一般不单独用稳压管的正向导通特性来稳压,而是用反向击穿特性来稳压。反向击穿电压值即为稳压值。有时将两个稳压管串联使用,一个利用它的正向特性,另一个利用它的反向特性,则既能稳压又可起温度补偿作用,以提高稳压效果。

 

 

  天旺科技主要供应:片状二三极管、片状开关、稳压二极管、片状整流、肖特基二极管、片状快恢复二极管、片状场效应、MOS管、片状电容、钽电容系列、低压差稳压IC、电源管理ICLDO。

  公司成立于1991年,是一家以生产经销电子元器件为主的新型高科技企业。本公司生产及销售自有品牌片状二三极管和低压差稳压IC、LDO及电源管理IC,并代理经销世界各国片状二三极管。公司现有职员100多人,办公面积500多平米。公司集元器件研发销售、代理销售、战略联盟销售、进出口报关物流等多项业务于一体,集更多的优势接受市场的挑战,灵活服务于客户,天旺以电子元器件为着陆点,潜心二、三极管。

  天旺拥有自主研发品牌“HT”,同时也是迪浦国际集团“PHILOP”系列产品,香港先科集团“ST”系列产品,江苏长电集团“长电”系列产品总代理。产品范围更广,服务更全面,并与品佳电子、艾睿集团 、安富利科技、世平集团、友尚国际等电子元器件国际知名企业达成战略合作伙伴关系,在电子元器件货源稳定,战略联盟销售,元器件报关物流等领域独具优势。

苏州固锝电子股份有限公司
公司信息未核实
  • 所属城市:广东 广州
  • [联系时请说明来自维库仪器仪表网]
  • 联系人: 曾向奔
  • 电话:020-83182723
  • 传真:020-83389441
  • 手机:13928786606
  • QQ :QQ:389939789QQ:2355278034QQ:2355278037
公司相关产品

供应STZ8180C稳压二极管,SOD-323稳压二极管

信息内容:

STZ8180C稳压二极管特性:   表面材料:硅   功耗:300mW   封装:SOD-323   结点温度:150℃   存储温度范围:-55℃~150℃   STZ8000系列稳压二极管的参数(T=25℃): dzsc/18/4297/18429771.jpg   二极管种类有很多,按照所用的半导体材料,可分为锗二极管(Ge管)和硅二极管(Si管)。根据其不同用途,可分为检波二极管、整流二极管、稳压二极管、开关二极管、隔离二极管、肖特基二极管、发光二极管、硅功率开关二极管、旋转二极管等。按照管芯结构,又可分为点接触型二极管、面接触型二极管及平面型二极管。点接触型二极管是用一根很细的金属丝压在光洁的半导体晶片表面,通以脉冲电流,使触丝一端与晶片牢固地烧结在一起,形成一个“PN结”。由于是点接触,只允许通过较小的电流(不超过几十毫安),适用于高频小电流电路,如收音机的检波等。面接触型二极管的“PN结”面积较大,允许通过较大的电流(几安到几十安),主要用于把交流电变换成直流电的“整流”电路中。平面型二极管是一种特制的硅二极管,它不仅能通过较大的电流,而且性能稳定可靠,多用于开关、脉冲及高频电路中。   天旺科技主要供应:片状二三极管、片状开...

详细内容>>

供应300mW稳压二极管,STZ8200稳压二极管

信息内容:

STZ8200稳压二极管特性:   表面材料:硅   功耗:300mW   封装:SOD-323   结点温度:150℃   存储温度范围:-55℃~150℃   STZ8000系列稳压二极管的参数(T=25℃): dzsc/18/4297/18429778.jpg   二极管又称晶体二极管,简称二极管(diode),另外,还有早期的真空电子二极管;它是一种具有单向传导电流的电子器件。在半导体二极管内部有一个PN结两个引线端子,这种电子器件按照外加电压的方向,具备单向电流的转导性。一般来讲,晶体二极管是一个由p型半导体和n型半导体烧结形成的p-n结界面。在其界面的两侧形成空间电荷层,构成自建电场。当外加电压等于零时,由于p-n 结两边载流子的浓度差引起扩散电流和由自建电场引起的漂移电流相等而处于电平衡状态,这也是常态下的二极管特性。   天旺科技主要供应:片状二三极管、片状开关、稳压二极管、片状整流、肖特基二极管、片状快恢复二极管、片状场效应、MOS管、片状电容、钽电容系列、低压差稳压IC、电源管理ICLDO。   公司成立于1991年,是一家以生产经销电子元器件为主的新型高科技企业。本公司生产及销售自有品牌片状二三极管和低压差稳压IC、LDO及电源管理IC,并代理经销世界各国片...

详细内容>>

相关产品