让卖家找上门
发布询价>>
您所在的位置:仪器仪表网> 电子元器件>供应300mW稳压二极管,STZ8200稳压二极管

供应300mW稳压二极管,STZ8200稳压二极管

价 格: 面议
型号/规格:STZ8200
品牌/商标:金誉
封装形式:SOD-323
环保类别:无铅环保型
安装方式:贴片式
包装方式:散装
功率特性:
频率特性:
反向电压:
反向击穿电流:

  STZ8200稳压二极管特性:

  表面材料:硅

  功耗:300mW

  封装:SOD-323

  结点温度:150℃

  存储温度范围:-55℃~150℃

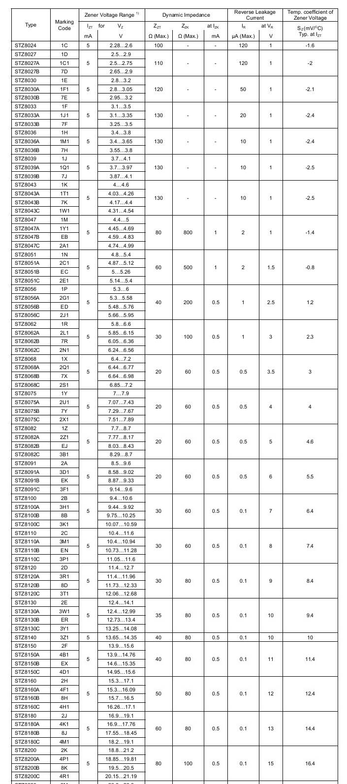
  STZ8000系列稳压二极管的参数(T=25℃):

dzsc/18/4297/18429778.jpg

 

  二极管又称晶体二极管,简称二极管(diode),另外,还有早期的真空电子二极管;它是一种具有单向传导电流的电子器件。在半导体二极管内部有一个PN结两个引线端子,这种电子器件按照外加电压的方向,具备单向电流的转导性。一般来讲,晶体二极管是一个由p型半导体和n型半导体烧结形成的p-n结界面。在其界面的两侧形成空间电荷层,构成自建电场。当外加电压等于零时,由于p-n 结两边载流子的浓度差引起扩散电流和由自建电场引起的漂移电流相等而处于电平衡状态,这也是常态下的二极管特性。

 


  天旺科技主要供应:片状二三极管、片状开关、稳压二极管、片状整流、肖特基二极管、片状快恢复二极管、片状场效应、MOS管、片状电容、钽电容系列、低压差稳压IC、电源管理ICLDO。

  公司成立于1991年,是一家以生产经销电子元器件为主的新型高科技企业。本公司生产及销售自有品牌片状二三极管和低压差稳压IC、LDO及电源管理IC,并代理经销世界各国片状二三极管。公司现有职员100多人,办公面积500多平米。公司集元器件研发销售、代理销售、战略联盟销售、进出口报关物流等多项业务于一体,集更多的优势接受市场的挑战,灵活服务于客户,天旺以电子元器件为着陆点,潜心二、三极管。

  天旺拥有自主研发品牌“HT”,同时也是迪浦国际集团“PHILOP”系列产品,香港先科集团“ST”系列产品,江苏长电集团“长电”系列产品总代理。产品范围更广,服务更全面,并与品佳电子、艾睿集团 、安富利科技、世平集团、友尚国际等电子元器件国际知名企业达成战略合作伙伴关系,在电子元器件货源稳定,战略联盟销售,元器件报关物流等领域独具优势。

苏州固锝电子股份有限公司
公司信息未核实
  • 所属城市:广东 广州
  • [联系时请说明来自维库仪器仪表网]
  • 联系人: 曾向奔
  • 电话:020-83182723
  • 传真:020-83389441
  • 手机:13928786606
  • QQ :QQ:389939789QQ:2355278034QQ:2355278037
公司相关产品

供应SOD-323稳压二极管,STZ8200A稳压二极管

信息内容:

STZ8200A稳压二极管特性:   表面材料:硅   功耗:300mW   封装:SOD-323   结点温度:150℃   存储温度范围:-55℃~150℃   STZ8000系列稳压二极管的参数(T=25℃): dzsc/18/4297/18429779.jpg   二极管的应用   1、整流   利用二极管单向导电性,可以把方向交替变化的交流电变换成单一方向的脉冲直流电。   2、开关   二极管在正向电压作用下电阻很小,处于导通状态,相当于一只接通的开关;在反向电压作用下,电阻很大,处于截止状态,如同一只断开的开关。利用二极管的开关特性,可以组成各种逻辑电路。   3、限幅   二极管正向导通后,它的正向压降基本保持不变(硅管为0.7V,锗管为0.3V)。利用这一特性,在电路中作为限幅元件,可以把信号幅度限制在一定范围内。   4、续流   在开关电源的电感中和继电器等感性负载中起续流作用。   5、检波   在收音机中起检波作用。   6、变容   使用于电视机的高频头中。   7、显示   用于VCD、DVD、计算器等显示器上。   8、稳压   稳压二极管实质上是一个面结型硅二极管,稳压二极管工作在反向击穿状态。在二极管的制造工艺上,使它有低压击穿特...

详细内容>>

供应STZ8200B稳压二极管,STZ8200B二极管

信息内容:

STZ8200B稳压二极管特性:   表面材料:硅   功耗:300mW   封装:SOD-323   结点温度:150℃   存储温度范围:-55℃~150℃   STZ8000系列稳压二极管的参数(T=25℃): dzsc/18/4297/18429780.jpg   二极管的工作原理   晶体二极管为一个由p型半导体和n型半导体形成的p-n结,在其界面处两侧形成空间电荷层,并建有自建电场。当不存在外加电压时,由于p-n 结两边载流子浓度差引起的扩散电流和自建电场引起的漂移电流相等而处于电平衡状态。当外界有正向电压偏置时,外界电场和自建电场的互相抑消作用使载流子的扩散电流增加引起了正向电流。当外界有反向电压偏置时,外界电场和自建电场进一步加强,形成在一定反向电压范围内与反向偏置电压值无关的反向饱和电流I0。当外加的反向电压高到一定程度时,p-n结空间电荷层中的电场强度达到临界值产生载流子的倍增过程,产生大量电子空穴对,产生了数值很大的反向击穿电流,称为二极管的击穿现象。p-n结的反向击穿有齐纳击穿和雪崩击穿之分。   天旺科技主要供应:片状二三极管、片状开关、稳压二极管、片状整流、肖特基二极管、片状快恢复二极管、片状场效应、MOS管、片状电容、钽电容系列...

详细内容>>

相关产品