让卖家找上门
发布询价>>
您所在的位置:仪器仪表网> 电子元器件>供应稳压管STZ8270A,稳压二极管STZ8270A

供应稳压管STZ8270A,稳压二极管STZ8270A

价 格: 面议
型号/规格:STZ8270A
品牌/商标:金誉
封装形式:SOD-323
环保类别:无铅环保型
安装方式:贴片式
包装方式:散装
功率特性:
频率特性:
反向电压:
反向击穿电流:

  STZ8270A稳压二极管特性:

  表面材料:硅

  功耗:300mW

  封装:SOD-323

  结点温度:150℃

  存储温度范围:-55℃~150℃

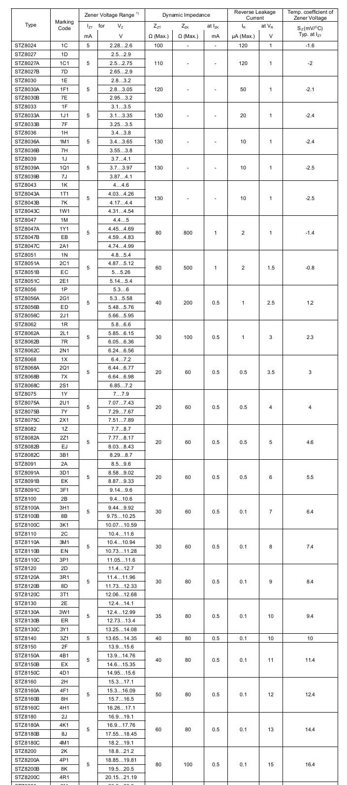
  STZ8000系列稳压二极管的参数(T=25℃):

dzsc/18/4298/18429804.jpg

 

 

 

  如何识别二极管

  小功率二极管的N极(负极),在二极管外表大多采用一种色圈标出来,有些二极管也用二极管专用符号来表示P极(正极)或N极(负极),也有采用符号标志为“P”、“N”来确定二极管极性的。发光二极管的正负极可从引脚长短来识别,长脚为正,短脚为负。用数字式万用表去测二极管时,红表笔接二极管的正极,黑表笔接二极管的负极,此时测得的阻值才是二极管的正向导通阻值,这与指针式万用表的表笔接法刚好相反。

  半导体是一种具有特殊性质的物质,它不像导体一样能够完全导电,又不像绝缘体那样不能导电,它介于两者之间,所以称为半导体。半导体最重要的两种元素是硅(读“gui”)和锗(读“zhe”)。我们常听说的美国硅谷,就是因为起先那里有好多家半导体厂商。

  . 二极管应该算是半导体器件家族中的元老了。很久以前,人们热衷于装配一种矿石收音机来收听无线电广播,这种矿石后来就被做成了晶体二极管。

 

  天旺创立于1991年,在近20年的市场博弈中,凭借着“天旺”人持之以恒的努力,在中国电子信息产业讯速发展的的契机下,使“天旺”发展成为产、供、销一条龙,科、工、贸一体化的新型高新技术集团公司。公司集元器件研发销售、代理销售、战略联盟销售、进出口报关物流等多项业务于一体。集更多的优势接受市场的挑战,灵活服务于客户。

  天旺以电子元器件为着陆点,潜心二、三极管领域近20年,是电子元器件产业二、三极管领域执着的守候者,立志做中国本土的电子元器件通路商。近20年的发展历程中先后被多家服务对象评为“战略伙伴”,“供应商”,“协力厂商”,并先后成为“深圳市电子商会副会长”,“中国质量管理者论坛副理事长”,“中国质量AAA 认证企业”。

  天旺拥有自主研发品牌“HT”。是迪浦国际集团“PHILOP”系列产品,香港先科集团“ST”系列产品,江苏长电集团“长电”系列产品总代理。产品范围更广,服务更全面。并与品佳电子、艾睿集团 、安富利科技、世平集团、友尚国际等电子元器件国际知名企业达成战略合作伙伴关系。在电子元器件货源稳定,战略联盟销售,元器件报关物流等领域独具优势。天旺致力于成为“中国本土的电子元器件通路商”、“电子元器件二、三极管领域龙头”。

  天旺的腾飞,得益于的人才策略,“人尽其才,物尽其用”是天旺用人的一惯宗旨。人才源源不断的加入,保证了天旺服务于电子信息产业的宏大抱负得以实现,也是天旺近20年称霸深圳电子元器件二、三极管领域的秘密。

  订购电话:0755-83268645      0755-83260798

  质优价廉!性价比高!可根据客户要求量身订做!欢迎广大客户来电来Q详谈!

苏州固锝电子股份有限公司
公司信息未核实
  • 所属城市:广东 广州
  • [联系时请说明来自维库仪器仪表网]
  • 联系人: 曾向奔
  • 电话:020-83182723
  • 传真:020-83389441
  • 手机:13928786606
  • QQ :QQ:389939789QQ:2355278034QQ:2355278037
公司相关产品

供应二极管STZ8270B,稳压二极管STZ8270B

信息内容:

STZ8270B稳压二极管特性:   表面材料:硅   功耗:300mW   封装:SOD-323   结点温度:150℃   存储温度范围:-55℃~150℃   STZ8000系列稳压二极管的参数(T=25℃): dzsc/18/4298/18429805.jpg   稳压二极管正向使用与反向使用的区别   稳压二极管正向导通使用时,与一般二极管正向导通使用时基本相同,正向导通后两端电压也是基本不变的,都约为0.7V。从理论上讲,稳压二极管也可正向使用做稳压管用,但其稳压值将低于1V,且稳压性能也不好,一般不单独用稳压管的正向导通特性来稳压,而是用反向击穿特性来稳压。反向击穿电压值即为稳压值。有时将两个稳压管串联使用,一个利用它的正向特性,另一个利用它的反向特性,则既能稳压又可起温度补偿作用,以提高稳压效果。   天旺创立于1991年,在近20年的市场博弈中,凭借着“天旺”人持之以恒的努力,在中国电子信息产业讯速发展的的契机下,使“天旺”发展成为产、供、销一条龙,科、工、贸一体化的新型高新技术集团公司。公司集元器件研发销售、代理销售、战略联盟销售、进出口报关物流等多项业务于一体。集更多的优势接受市场的挑战,灵活服务于客户。   天旺以电子元器件为...

详细内容>>

供应稳压二极管STZ8270C,齐纳二极管STZ8270C

信息内容:

STZ8270C稳压二极管特性:   表面材料:硅   功耗:300mW   封装:SOD-323   结点温度:150℃   存储温度范围:-55℃~150℃   STZ8000系列稳压二极管的参数(T=25℃): dzsc/18/4298/18429807.jpg   如何区分二极管与稳压二极管?   不少的一般二极管,特别是玻璃封装的管,外形颜色等与稳压二极管较相似,如不细心区别,就会使用错误。区别方法是:看外形,不少稳压二极管为园柱形,较短粗,而一般二极管若为园柱形的则较细长;看标志,稳 压二极管的外表面上都标有稳压值,如5V6,表示稳压值为5.6V;用万用表进行测量,根据单向导电性,用X1K挡先把被测二极管的正负极性判断出来,然后用X10K挡,黑表笔接二极管负极,红表笔接二极管正极,测的阻值与X1K挡时相比,若出现的反向阻值很大,为一般二极管的可能性很大,若出现的反向阻值变得很小,则为稳压二极管。   天旺创立于1991年,在近20年的市场博弈中,凭借着“天旺”人持之以恒的努力,在中国电子信息产业讯速发展的的契机下,使“天旺”发展成为产、供、销一条龙,科、工、贸一体化的新型高新技术集团公司。公司集元器件研发销售、代理销售、战略联盟销售、进出口报关物...

详细内容>>

相关产品