让卖家找上门
发布询价>>
您所在的位置:仪器仪表网> 电子元器件>供应STZ8240B稳压二极管,STZ8240B稳压管

供应STZ8240B稳压二极管,STZ8240B稳压管

价 格: 面议
型号/规格:STZ8240B
品牌/商标:SOD-323
封装形式:SOD-323
环保类别:无铅环保型
安装方式:贴片式
包装方式:散装
功率特性:
频率特性:
反向电压:
反向击穿电流:

  STZ8240B稳压二极管特性:

  表面材料:硅

  功耗:300mW

  封装:SOD-323

  结点温度:150℃

  存储温度范围:-55℃~150℃

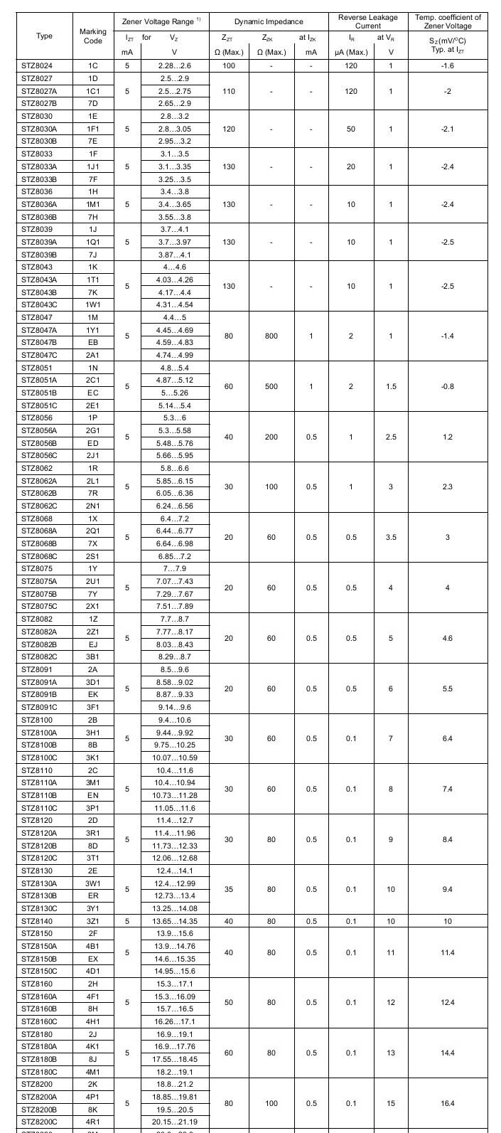
  STZ8000系列稳压二极管的参数(T=25℃):

dzsc/18/4297/18429793.jpg

 

 

  二极管的应用

  1、整流

  利用二极管单向导电性,可以把方向交替变化的交流电变换成单一方向的脉冲直流电。

  2、开关

  二极管在正向电压作用下电阻很小,处于导通状态,相当于一只接通的开关;在反向电压作用下,电阻很大,处于截止状态,如同一只断开的开关。利用二极管的开关特性,可以组成各种逻辑电路。

  3、限幅

  二极管正向导通后,它的正向压降基本保持不变(硅管为0.7V,锗管为0.3V)。利用这一特性,在电路中作为限幅元件,可以把信号幅度限制在一定范围内。

  4、续流

  在开关电源的电感中和继电器等感性负载中起续流作用。

  5、检波

  在收音机中起检波作用。

  6、变容

  使用于电视机的高频头中。

  7、显示

  用于VCD、DVD、计算器等显示器上。

  8、稳压

  稳压二极管实质上是一个面结型硅二极管,稳压二极管工作在反向击穿状态。在二极管的制造工艺上,使它有低压击穿特性。稳压二极管的反向击穿电压恒定,在稳压电路中串入限流电阻,使稳压管击穿后电流不超过允许值,因此击穿状态可以长期持续并不会损坏。

  9、触发

  触发二极管又称双向触发二极管(DIAC)属三层结构,具有对称性的二端半导体器件。常用来触发双向可控硅 ,在电路中作过压保护等用途。

 

  天旺创立于1991年,在近20年的市场博弈中,凭借着“天旺”人持之以恒的努力,在中国电子信息产业讯速发展的的契机下,使“天旺”发展成为产、供、销一条龙,科、工、贸一体化的新型高新技术集团公司。公司集元器件研发销售、代理销售、战略联盟销售、进出口报关物流等多项业务于一体。集更多的优势接受市场的挑战,灵活服务于客户。

  天旺以电子元器件为着陆点,潜心二、三极管领域近20年,是电子元器件产业二、三极管领域执着的守候者,立志做中国本土的电子元器件通路商。近20年的发展历程中先后被多家服务对象评为“战略伙伴”,“供应商”,“协力厂商”,并先后成为“深圳市电子商会副会长”,“中国质量管理者论坛副理事长”,“中国质量AAA 认证企业”。

  天旺拥有自主研发品牌“HT”。是迪浦国际集团“PHILOP”系列产品,香港先科集团“ST”系列产品,江苏长电集团“长电”系列产品总代理。产品范围更广,服务更全面。并与品佳电子、艾睿集团 、安富利科技、世平集团、友尚国际等电子元器件国际知名企业达成战略合作伙伴关系。在电子元器件货源稳定,战略联盟销售,元器件报关物流等领域独具优势。天旺致力于成为“中国本土的电子元器件通路商”、“电子元器件二、三极管领域龙头”。

  天旺的腾飞,得益于的人才策略,“人尽其才,物尽其用”是天旺用人的一惯宗旨。人才源源不断的加入,保证了天旺服务于电子信息产业的宏大抱负得以实现,也是天旺近20年称霸深圳电子元器件二、三极管领域的秘密。

  订购电话:0755-83268645      0755-83260798

  质优价廉!性价比高!可根据客户要求量身订做!欢迎广大客户来电来Q详谈!

苏州固锝电子股份有限公司
公司信息未核实
  • 所属城市:广东 广州
  • [联系时请说明来自维库仪器仪表网]
  • 联系人: 曾向奔
  • 电话:020-83182723
  • 传真:020-83389441
  • 手机:13928786606
  • QQ :QQ:389939789QQ:2355278034QQ:2355278037
公司相关产品

供应300mW稳压二极管,STZ8240C稳压二极管

信息内容:

STZ8240C稳压二极管特性:   表面材料:硅   功耗:300mW   封装:SOD-323   结点温度:150℃   存储温度范围:-55℃~150℃   STZ8000系列稳压二极管的参数(T=25℃): dzsc/18/4297/18429794.jpg   二极管按构造分类:   半导体二极管主要是依靠PN结而工作的。与PN结不可分割的点接触型和肖特基型,也被列入一般的二极管的范围内。包括这两种型号在内,根据PN结构造面的特点,把晶体二极管分类如下:   点接触型二极管   点接触型二极管是在锗或硅材料的单晶片上压触一根金属针后,再通过电流法而形成的。因此,其PN结的静电容量小,适用于高频电路。但是,与面结型相比较,点接触型二极管正向特性和反向特性都差,因此,不能使用于大电流和整流。因为构造简单,所以价格便宜。对于小信号的检波、整流、调制、混频和限幅等一般用途而言,它是应用范围较广的类型。   键型二极管   键型二极管是在锗或硅的单晶片上熔接或银的细丝而形成的。其特性介于点接触型二极管和合金型二极管之间。与点接触型相比较,虽然键型二极管的PN结电容量稍有增加,但正向特性特别优良。多作开关用,有时也被应用于检波和电源整流(不大于50mA)...

详细内容>>

供应稳压二极管STZ8270,二极管STZ8270

信息内容:

STZ8270稳压二极管特性:   表面材料:硅   功耗:300mW   封装:SOD-323   结点温度:150℃   存储温度范围:-55℃~150℃   STZ8000系列稳压二极管的参数(T=25℃): dzsc/18/4297/18429795.jpg   二极管主要参数   用来表示二极管的性能好坏和适用范围的技术指标,称为二极管的参数。不同类型的二极管有不同的特性参数。对初学者而言,必须了解以下几个主要参数:   1、整流电流   是指二极管长期连续工作时允许通过的正向电流值,其值与PN结面积及外部散热条件等有关。因为电流通过管子时会使管芯发热,温度上升,温度超过容许限度(硅管为141左右,锗管为90左右)时,就会使管芯过热而损坏。所以在规定散热条件下,二极管使用中不要超过二极管整流电流值。例如,常用的IN4001-4007型锗二极管的额定正向工作电流为1A。   2、反向工作电压   加在二极管两端的反向电压高到一定值时,会将管子击穿,失去单向导电能力。为了保证使用安全,规定了反向工作电压值。例如,IN4001二极管反向耐压为50V,IN4007反向耐压为1000V。   3、反向电流   反向电流是指二极管在规定的温度和反向电压作用下,流过二极管的反向电流。反...

详细内容>>

相关产品