让卖家找上门
发布询价>>
您所在的位置:仪器仪表网> 电子元器件>供应STZ8160C稳压二极管,生产稳压二极管

供应STZ8160C稳压二极管,生产稳压二极管

价 格: 面议
型号/规格:STZ8160C
品牌/商标:金誉
封装形式:SOD-323
环保类别:无铅环保型
安装方式:贴片式
包装方式:散装
功率特性:
频率特性:
反向电压:
反向击穿电流:

  STZ8160C稳压二极管特性:

  表面材料:硅

  功耗:300mW

  封装:SOD-323

  结点温度:150℃

  存储温度范围:-55℃~150℃

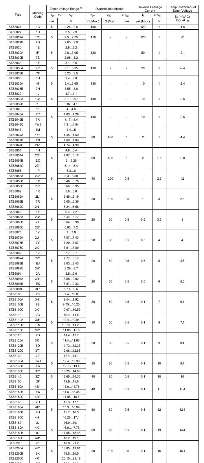
  STZ8000系列稳压二极管的参数(T=25℃):

dzsc/18/4297/18429756.jpg

 

  二极管击穿有哪3种情况?

  二极管的击穿通常有三种情况,即雪崩击穿、齐纳击穿和热击穿。

  (1)雪崩击穿

  对于掺杂浓度较低的PN结,结较厚,当外加反向电压高到一定数值时,因外电场过强,使PN结内少数载流子获得很大的动能而直接与原子碰撞,将原子电离,产生新的电子空穴对,由于链锁反应的结果,使少数载流子数目急剧增多,反向电流雪崩式地迅速增大,这种现象叫雪崩击穿。雪崩击穿通常发生在高反压、低掺杂的情况下。

  (2)齐纳击穿

  对于采用高掺杂(即杂质浓度很大)形成的PN结,由于结很薄(如0.04μm)即使外加电压并不高(如4V),就可产生很强的电场将结内共价键中的价电子拉出来,产生大量的电子一空穴对,使反向电流剧增,这种现象叫齐纳击穿(因齐纳研究而得名)。齐纳击穿一般发生在低反压、高掺杂的情况下。

  (3)热击穿

  在使用二极管的过程中,如由于PN结功耗(反向电流与反向电压之积)过大,使结温升高,电流变大,循环反复的结果,超过PN结的允许功耗,使PN结击穿的现象叫热击穿。热击穿后二极管将发生性损坏。

  对于硅PN结,击穿电压在7V以上的为雪崩击穿;4V以下的为齐纳击穿;在4~7V之间的两种情况都有。无论哪种击穿,只要控制反向电流的数值不致引起热击穿,当反向电压下降到击穿电压以下,其性能可以恢复到未击穿前的状况。

 

 

  天旺科技主要供应:片状二三极管、片状开关、稳压二极管、片状整流、肖特基二极管、片状快恢复二极管、片状场效应、MOS管、片状电容、钽电容系列、低压差稳压IC、电源管理ICLDO。

  公司成立于1991年,是一家以生产经销电子元器件为主的新型高科技企业。本公司生产及销售自有品牌片状二三极管和低压差稳压IC、LDO及电源管理IC,并代理经销世界各国片状二三极管。公司现有职员100多人,办公面积500多平米。公司集元器件研发销售、代理销售、战略联盟销售、进出口报关物流等多项业务于一体,集更多的优势接受市场的挑战,灵活服务于客户,天旺以电子元器件为着陆点,潜心二、三极管。

  天旺拥有自主研发品牌“HT”,同时也是迪浦国际集团“PHILOP”系列产品,香港先科集团“ST”系列产品,江苏长电集团“长电”系列产品总代理。产品范围更广,服务更全面,并与品佳电子、艾睿集团 、安富利科技、世平集团、友尚国际等电子元器件国际知名企业达成战略合作伙伴关系,在电子元器件货源稳定,战略联盟销售,元器件报关物流等领域独具优势。

苏州固锝电子股份有限公司
公司信息未核实
  • 所属城市:广东 广州
  • [联系时请说明来自维库仪器仪表网]
  • 联系人: 曾向奔
  • 电话:020-83182723
  • 传真:020-83389441
  • 手机:13928786606
  • QQ :QQ:389939789QQ:2355278034QQ:2355278037
公司相关产品

供应二极管STZ8180,稳压二极管STZ8180

信息内容:

STZ8180稳压二极管特性:   表面材料:硅   功耗:300mW   封装:SOD-323   结点温度:150℃   存储温度范围:-55℃~150℃   STZ8000系列稳压二极管的参数(T=25℃): dzsc/18/4297/18429757.jpg   稳压管的主要参数:   (1) 稳定电压VZ   Vz稳压管反向击穿后其电流为规定值时它两端的电压值。不同型号的稳压管其Vz的范围不同;同种型号的稳压管也常因工艺上的差异而有一定的分散性。所以,Vz一般给出的是范围值,例如2CW11的Vz在3.2~4.5V (测试电流为10mA)。当然,二极管(包括稳压管)的正向导通特性也有稳压作用,但稳定电压只有0.6~0. 8V,且随温度的变化较大,故一般不常用。   (2)稳定电流IZ   IZ是指稳压管正常工作时的参考电流。Iz 通常在最小稳定电流IZmin与稳定电流IZmax之间。其中IZmin 是指稳压管开始起稳压作用时的最小电流,电流低于此值时,稳压效果差;IZmax是指稳压管稳定工作时的允许电流,超过此电流时,只要超过额定功耗,稳压管将发生性击穿。故一般要求 IZmin< Iz < IZmax 。   (3)动态电阻rZ   rZ是指在稳压管正常工作的范围内,电压的微变量与电流的微变量之比。rZ 越小,表明稳压管...

详细内容>>

供应STZ8180A稳压管,STZ8180A稳压二极管

信息内容:

STZ8180A稳压二极管特性:   表面材料:硅   功耗:300mW   封装:SOD-323   结点温度:150℃   存储温度范围:-55℃~150℃   STZ8000系列稳压二极管的参数(T=25℃): dzsc/18/4297/18429768.jpg   如何区分二极管与稳压二极管?   不少的一般二极管,特别是玻璃封装的管,外形颜色等与稳压二极管较相似,如不细心区别,就会使用错误。区别方法是:看外形,不少稳压二极管为园柱形,较短粗,而一般二极管若为园柱形的则较细长;看标志,稳 压二极管的外表面上都标有稳压值,如5V6,表示稳压值为5.6V;用万用表进行测量,根据单向导电性,用X1K挡先把被测二极管的正负极性判断出来,然后用X10K挡,黑表笔接二极管负极,红表笔接二极管正极,测的阻值与X1K挡时相比,若出现的反向阻值很大,为一般二极管的可能性很大,若出现的反向阻值变得很小,则为稳压二极管。   天旺科技主要供应:片状二三极管、片状开关、稳压二极管、片状整流、肖特基二极管、片状快恢复二极管、片状场效应、MOS管、片状电容、钽电容系列、低压差稳压IC、电源管理ICLDO。   公司成立于1991年,是一家以生产经销电子元器件为主的新型高科技企业。本公司...

详细内容>>

相关产品